overleaf template galleryLaTeX templates and examples — Recent
Discover LaTeX templates and examples to help with everything from writing a journal article to using a specific LaTeX package.

Formato de entrega de informes Semana 5: Instalación de Sistema Operativo Linux - Distribución Centos Mininal

definiciones de los conceptos de la primera unidad

This is a skeleton file demonstrating the use of the IEEEtran.cls style with a one-column IEEE journal paper, and with example bibliography files included. (Please refer to your journal's instructions for other document class options to set before submitting.) These bibliography files are includes to provide one example of how to set up a bibliography for your IEEE paper. For more information on using bibtex for references in your IEEE journal papers, see this FAQ. IEEEtran.cls version: 1.8b

Official thesis template for the MSc Robotics at University of Bristol and the University of the West of England.

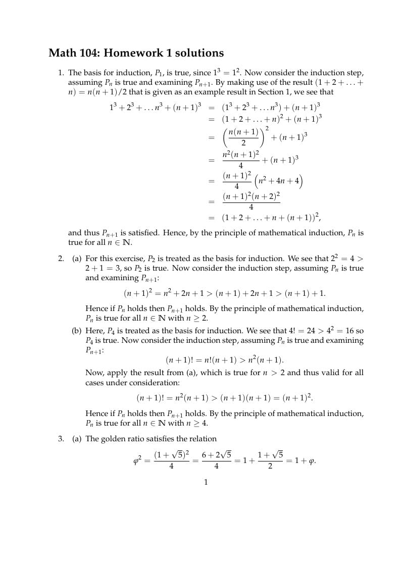
Template for math homework assignments. Allows for Questions with multiple parts (a, b, c, etc.), Theorem boxes, and solution sections. Each problem should have its own .tex file, and compiled by main.tex. Packages, settings, and declarations are handled by settings.tex

Antes de comenzar a desarrollar un proyecto final tiene que estar aprobado por las autoridades que correspondan. Este documento contiene los datos que resumen el proyecto y el formato para avalar el proyecto según lo estipulado Julio 2019.

This is a template for PhD Thesis Plan In Electrical and Computer Engineering of UTAD

Homework assignment LaTeX template created by Ted Pavlic. Source: Ted Pavlic’s homepage. This template was originally published on ShareLaTeX and subsequently moved to Overleaf in October 2019.

This poster theme takes queues from NUST branding and using beamer as LaTeX template. The name namkeen is inspired from the famous Peshawari recipe of Mutton in the Northern Region of Pakistan. Namkeen gosht recipe is famous for its simplicity yet deliciousness. Source https://github.com/hasanalikhattak/namkeen
\begin
Discover why over 25 million people worldwide trust Overleaf with their work.