LaTeX templates and examples — Dynamic Figures
Kürzlich

Turkish national flag with TiKz.

\(y=\frac{c}{x}\)

Clean and simple way to generate a control block diagram with TikZ. Adapted from http://www.texample.net/tikz/examples/control-system-principles/

Neste projeto é apresentado o código para criar uma região colorida sob um gráfico. Para detalhes sobre o projeto: marcos.ufal.mat@gmail.com

Examples from the zed-csp documentation.

Flaschenzug, pulley

La bandera de Taiwan (conocida oficialmente en castellano como "República de China") es también la bandera del Kuomintang (KMT), partido político fundado por Sun Yat-sen, y fue adoptada en 1895 como bandera de la "Sociedad para la Regeneración de China", movimiento precursor del actual KMT. La bandera fue diseñada por Lu Haodong, mártir del movimiento republicano chino durante el final de la dinastía Qing, última dinastía imperial china. La bandera actual de la República de China comenzó a usarse como emblema oficial el 17 de diciembre de 1928, cuando el sucesor de Sun Yat-sen, Chiang Kai-shek, estableció el Gobierno de la República de China en Nankín. Técnicamente, la bandera tiene una relación largo/alto de 3:2, consta de 4 cuadrantes: 3 con fondo rojo y uno de color azul con una estrella de 12 puntas con una relación puntas internas/puntas externas igual a 2, rellena de color blanco y una circunferencia interna con un grosor de 0,0125 veces el alto de la bandera. Su diseño ha sido tomado de la página web http://www.vexilla-mundi.com/taiwan_flag.html donde figura su "hoja de construcción" y los colores para sistemas informáticos proceden del archivo "flag.zip" que se encuentra en la página en inglés de la Presidencia de la República de China.

This is an example for re-creating gnuplot charts with tikz on LaTeX, made possible by adding gnuplot-lua-tikz.sty and gnuplot-lua-tikz-common.tex to your project. (These files can be generated by invoking lua gnuplot-tikz.lua style where gnuplot-tikz.lua can be found in $GNUPLOT/lua/gnuplot-tikz.lua. (This will work with all engines, not just LuaLaTeX!)

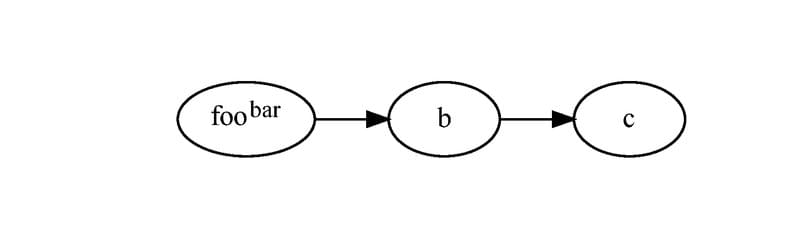
An example of the graphviz package, which uses dot in the background to draw graphs. Add \usepackage[pdf]{graphicx} to get HTML-like labels working.
\begin
Discover why over 20 million people worldwide trust Overleaf with their work.